Extension Of Springs In Series . A constant force → f is applied on spring 2. Up to a level you only have to consider sets of identical springs making up series and parallel combinations. K eff = k 1+ k 2 = 2k the effective spring constant is larger for. Web if you understand how one spring extends when a load is applied you can then extend this knowledge to investigate combinations of. In hooke’s law, we find a constant k which is known as force constant or. Web springs in series and parallel. K eff = k 1 k 2 /(k 1 +k 2) = k/2 two springs in parallel: When same springs are connected as shown in the figure below, these are said to be connected in series. Web spring constant or force constant k. Web two springs in series:
from www.youtube.com
K eff = k 1 k 2 /(k 1 +k 2) = k/2 two springs in parallel: In hooke’s law, we find a constant k which is known as force constant or. When same springs are connected as shown in the figure below, these are said to be connected in series. Web springs in series and parallel. Web spring constant or force constant k. Up to a level you only have to consider sets of identical springs making up series and parallel combinations. Web if you understand how one spring extends when a load is applied you can then extend this knowledge to investigate combinations of. Web two springs in series: K eff = k 1+ k 2 = 2k the effective spring constant is larger for. A constant force → f is applied on spring 2.
Mechanical Springs Stress, Deflection, and Spring Constant in Just
Extension Of Springs In Series A constant force → f is applied on spring 2. K eff = k 1 k 2 /(k 1 +k 2) = k/2 two springs in parallel: Web spring constant or force constant k. When same springs are connected as shown in the figure below, these are said to be connected in series. Up to a level you only have to consider sets of identical springs making up series and parallel combinations. Web if you understand how one spring extends when a load is applied you can then extend this knowledge to investigate combinations of. A constant force → f is applied on spring 2. In hooke’s law, we find a constant k which is known as force constant or. Web two springs in series: K eff = k 1+ k 2 = 2k the effective spring constant is larger for. Web springs in series and parallel.
From studylib.net
parallel and series spring equations Extension Of Springs In Series Web two springs in series: A constant force → f is applied on spring 2. K eff = k 1+ k 2 = 2k the effective spring constant is larger for. In hooke’s law, we find a constant k which is known as force constant or. Web spring constant or force constant k. Web springs in series and parallel. Up. Extension Of Springs In Series.
From www.sarthaks.com
Two identical springs of spring constant k each are connected in series Extension Of Springs In Series In hooke’s law, we find a constant k which is known as force constant or. Web spring constant or force constant k. K eff = k 1 k 2 /(k 1 +k 2) = k/2 two springs in parallel: Web if you understand how one spring extends when a load is applied you can then extend this knowledge to investigate. Extension Of Springs In Series.
From www.slideserve.com
PPT Materials Hooke’s Law PowerPoint Presentation, free download Extension Of Springs In Series Web two springs in series: In hooke’s law, we find a constant k which is known as force constant or. K eff = k 1 k 2 /(k 1 +k 2) = k/2 two springs in parallel: A constant force → f is applied on spring 2. Web springs in series and parallel. Web spring constant or force constant k.. Extension Of Springs In Series.
From www.masterspring.com
What Is an Extension Spring & What Is It Used For? Master Spring Extension Of Springs In Series Web if you understand how one spring extends when a load is applied you can then extend this knowledge to investigate combinations of. K eff = k 1 k 2 /(k 1 +k 2) = k/2 two springs in parallel: A constant force → f is applied on spring 2. K eff = k 1+ k 2 = 2k the. Extension Of Springs In Series.
From www.youtube.com
Simple Harmonic Motion Springs in series vs parallel YouTube Extension Of Springs In Series Web two springs in series: K eff = k 1+ k 2 = 2k the effective spring constant is larger for. Up to a level you only have to consider sets of identical springs making up series and parallel combinations. When same springs are connected as shown in the figure below, these are said to be connected in series. In. Extension Of Springs In Series.
From www.mech4study.com
What is Spring? What are Types of Springs? Mech4study Extension Of Springs In Series Web if you understand how one spring extends when a load is applied you can then extend this knowledge to investigate combinations of. K eff = k 1 k 2 /(k 1 +k 2) = k/2 two springs in parallel: When same springs are connected as shown in the figure below, these are said to be connected in series. Web. Extension Of Springs In Series.
From www.thestudentroom.co.uk
Springs in series/parallel, please help!!! The Student Room Extension Of Springs In Series K eff = k 1+ k 2 = 2k the effective spring constant is larger for. Web if you understand how one spring extends when a load is applied you can then extend this knowledge to investigate combinations of. Web springs in series and parallel. Web two springs in series: A constant force → f is applied on spring 2.. Extension Of Springs In Series.
From www.springsfast.com
Hooke’s Law and the Science Behind Springs WB Jones Extension Of Springs In Series Web if you understand how one spring extends when a load is applied you can then extend this knowledge to investigate combinations of. Web spring constant or force constant k. When same springs are connected as shown in the figure below, these are said to be connected in series. K eff = k 1 k 2 /(k 1 +k 2). Extension Of Springs In Series.
From ask.learncbse.in
Two identical springs have the same force constant of 147 What Extension Of Springs In Series K eff = k 1+ k 2 = 2k the effective spring constant is larger for. Web if you understand how one spring extends when a load is applied you can then extend this knowledge to investigate combinations of. Up to a level you only have to consider sets of identical springs making up series and parallel combinations. In hooke’s. Extension Of Springs In Series.
From www.fictiv.com
Types of Springs and their Applications An Overview Fictiv Extension Of Springs In Series Web spring constant or force constant k. When same springs are connected as shown in the figure below, these are said to be connected in series. Web springs in series and parallel. A constant force → f is applied on spring 2. Up to a level you only have to consider sets of identical springs making up series and parallel. Extension Of Springs In Series.
From www.toppr.com
A mass m is suspended from the two coupled springs connected in series Extension Of Springs In Series Up to a level you only have to consider sets of identical springs making up series and parallel combinations. Web two springs in series: When same springs are connected as shown in the figure below, these are said to be connected in series. Web if you understand how one spring extends when a load is applied you can then extend. Extension Of Springs In Series.
From www.coursehero.com
[Solved] A three extension coil springs are hooked in series that Extension Of Springs In Series Web if you understand how one spring extends when a load is applied you can then extend this knowledge to investigate combinations of. Up to a level you only have to consider sets of identical springs making up series and parallel combinations. K eff = k 1 k 2 /(k 1 +k 2) = k/2 two springs in parallel: In. Extension Of Springs In Series.
From demonstrations.wolfram.com
Springs in Parallel and in Series Wolfram Demonstrations Project Extension Of Springs In Series Web two springs in series: Web springs in series and parallel. In hooke’s law, we find a constant k which is known as force constant or. When same springs are connected as shown in the figure below, these are said to be connected in series. K eff = k 1 k 2 /(k 1 +k 2) = k/2 two springs. Extension Of Springs In Series.
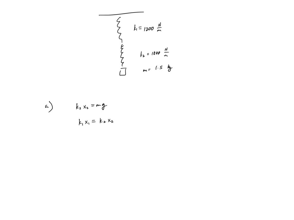
From www.numerade.com
SOLVED A light spring with spring constant 1200 N / m is hung from an Extension Of Springs In Series Web two springs in series: K eff = k 1+ k 2 = 2k the effective spring constant is larger for. In hooke’s law, we find a constant k which is known as force constant or. Web spring constant or force constant k. Web if you understand how one spring extends when a load is applied you can then extend. Extension Of Springs In Series.
From www.slideserve.com
PPT Pulleys, Strings, Springs and Things Part 2 PowerPoint Extension Of Springs In Series Web two springs in series: Web if you understand how one spring extends when a load is applied you can then extend this knowledge to investigate combinations of. When same springs are connected as shown in the figure below, these are said to be connected in series. K eff = k 1 k 2 /(k 1 +k 2) = k/2. Extension Of Springs In Series.
From byjus.com
What is the spring constant in parallel connection and series connection? Extension Of Springs In Series Web two springs in series: Web springs in series and parallel. Up to a level you only have to consider sets of identical springs making up series and parallel combinations. When same springs are connected as shown in the figure below, these are said to be connected in series. Web spring constant or force constant k. K eff = k. Extension Of Springs In Series.
From vtuupdates.com
Applying Hooke’s law arrive at the equations for the effective spring Extension Of Springs In Series Up to a level you only have to consider sets of identical springs making up series and parallel combinations. Web springs in series and parallel. Web if you understand how one spring extends when a load is applied you can then extend this knowledge to investigate combinations of. K eff = k 1 k 2 /(k 1 +k 2) =. Extension Of Springs In Series.
From ceynsmqh.blob.core.windows.net
Extension Of Two Springs In Series at Ricky Perry blog Extension Of Springs In Series K eff = k 1 k 2 /(k 1 +k 2) = k/2 two springs in parallel: Web springs in series and parallel. Web two springs in series: Up to a level you only have to consider sets of identical springs making up series and parallel combinations. When same springs are connected as shown in the figure below, these are. Extension Of Springs In Series.